转载:北雁云依-LUKS2 YubiKey 全盘加密手稿
原文地址 由于CC-BY-NC-ND协议限制,无法对转载内容进行修改,故在此以 git diff 的形式显示补充内容。
Git Diff
原文地址 永久链接
Git Diff 永久链接

使用 galera创建mariaDB集群
OS-RELEASE Copy
PRETTY_NAME="Ubuntu 22.04.4 LTS"
NAME="Ubuntu"
VERSION_ID="22.04"
VERSION="22.04.4 LTS (Jammy Jellyfish)"
VERSION_CODENAME…
Rsync 和 nfs
-a 显示 failed: Operation not permitted (1) 使用 -rltvz 代替 -avz ,这样就不会提示权限不足了。
错误出现在 rsync 想要同步文件权限,然而 nfs 一般不允许用户更改文件权限。即使映射所有用户到 admin…
为什么总在伤心的时候写博客?
谁写博客啊? 博客就是公开的日记,除了记录有意义的事情,剩下的就是无病呻吟。
为什么总在伤心的时候写博客?
因为开心的时候忙着开心。
今天怎么啦?
今天不开心。
谈谈自杀干预
我还活着,为什么还活着? 自杀干预
生效
我去的第一站是上海,这里有一位同伴将迎来新生,她的生命即将迎来一个崭新的开始。
我很羡慕她。但我也不该羡慕她。
她对我进行了自杀干预,效果在短时间内是卓有成效的,这对于她和其他关心我的人来说,是非常有用,且令人开心的。对我来说…
Bye World
我是很早之前就决定去死的 我无法找到目标,因此选择了离开。可能我从未真正完整。
我的出生
我出生于一个偶尔喧嚣、通常宁静的小村庄。
我的爷爷和我的爸爸一样,至少性格一样。
最令我心痛的记忆是关于奶奶的 —— 她在我很小的时候就去世了。据亲戚们说,她是被爷爷打死的。我记得…
几种clash GUI及类似工具的介绍
v2raya 优点:
完全开源
支持 ss/ssr/v2ray 订阅链接
可单独导入服务器
内核可选且开源 (v2ray-core/xray-core)
全平台兼容
缺点:
无法解析 clash 订阅链接
clash for windows
Github: Fndro…
Matrix简明介绍
Matrix 指的是一种用于实时通信的开放协议。它允许使用一个通信服务提供商帐户的用户与使用不同服务提供商的用户进行网络聊天,IP 语音和视频通话。也就是说,它旨在使不同服务提供商之间的实时通信无缝工作,就像使用电子邮件一样。采用该协议的软件有 Element.io 等…
ufw对docker设置的端口映射不生效
编辑 docker 配置文件/etc/default/docker 添加如下内容
Copy
DOCKER_OPTS = "--iptables=false"
重启 docker 服务
Copy
systemctl restart docker
卸载编译安装的软件
make install 完了目录下会有一个 install_mainfest.txt 的文件记录了安装的所有内容 Copy
xargs rm < install_manifest.txt
或者 `make uninstall`, 但这个取决于作者有没有在 Makefile…
Linux网卡驱动丢失
原因很简单,windows 开启了快速启动. 在关机时并不会彻底关闭硬件设备,而是保留了硬件设备的状态,然后 Linux 就傻了.
https://web.archive.org/web/20220726090641/https://bbs.archlinuxcn.org…
Manjaro+Windows10双系统安装
准备工作 硬盘: 三星 970evo 512G,致钛 1T.
计划
windows Manjaro三星 500G 200G(C:/) 300G(/)
致钛 1T 300G(D:/) 700G(/home)
linux 系统中,根目录(除去 home…
视图与索引
创建和查看视图 视图(view)是一种特殊的表,它可以把数据表的数据查询或者操作抽象成一个独立的数据库操作。实际上并不存在于数据库中。
数据库中只存储了视图的定义,而视图的实际数据是通过查询数据库来获取的。所以数据库的内容变化后会影响视图的数据。
语法:
Copy
CREATE…
SQL 数据操纵语言
数据插入,删除,修改 插入
Copy
INSERT INTO table_name (column1, column2,...) VALUES (value1, value2,....)
删除
Copy
DELETE FROM table_name WHERE column…

Mysql 基础
Crate mysql database login & crate database
Copy
# mysql -u root -p
mysql> create database test;
login with crate database
Copy
# m…
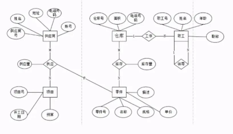
E-R图
结构化分析(SA) 面向对象分析(OOA)
实体型:方框
属性:椭圆形
联系:菱形,并在链接实体的线上写明关系(1, m, n)
两个实体间的联系
1:1
1
m
两个以上的实体间的联系
一对多(1:n)
多对多(m:n
)
1:n
1:1…

放洋屁生成器
这是一个前段时间写的项目,本来就是闲的无聊的作品。 用的是基于 python 的 flask 框架,和简单的 html。
部署在 vercel 上。
Vercel 是大好人!
好多项目都在上面挂着,还没收我钱。
Github
Demo
或者 vercel 分配的地址
previ…
针对博客图片的一个想法
实在是不知道图片存在哪里好了。 不过还是有个想法的
http 链接
md 格式 相对位置 source/images/1.png ./../images/1.png
md 格式 同名文件夹
{% asset_img 1.png This is an example…









